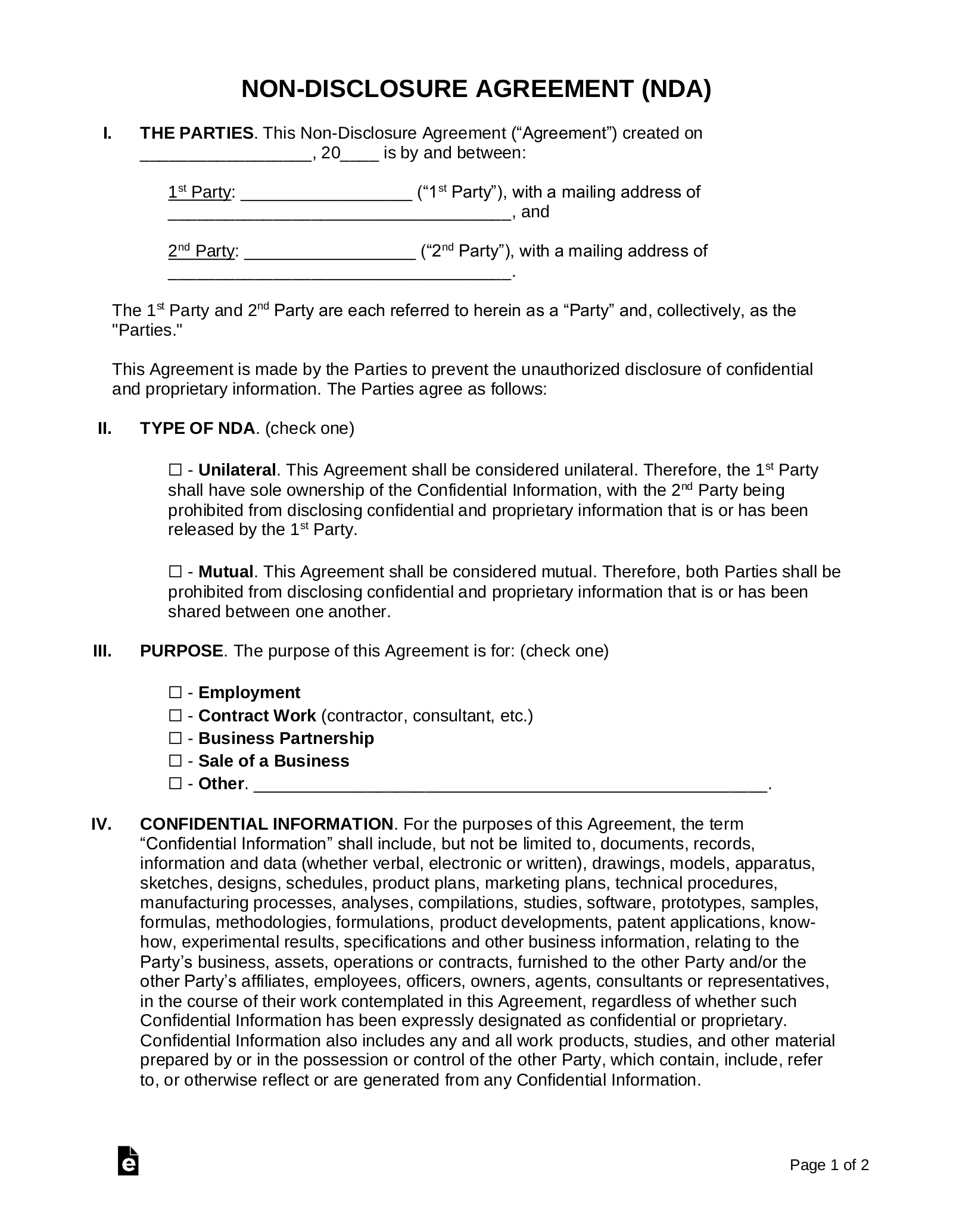
Free Printable Confidentiality Agreement Template
Confidentiality agreements are essential in protecting sensitive information shared between parties. Whether you’re a business owner, freelancer, or consultant, having a solid confidentiality agreement in place can safeguard your ideas and data.
Creating a confidentiality agreement from scratch can be time-consuming and confusing. That’s why we’ve got you covered with a free printable confidentiality agreement template that you can easily customize to suit your needs.
Free Printable Confidentiality Agreement Template
Free Printable Confidentiality Agreement Template
Our free printable confidentiality agreement template is a handy tool for anyone looking to establish clear guidelines for sharing confidential information. Simply download the template, fill in the necessary details, and voila! You’re ready to protect your sensitive data.
This template covers key aspects such as the scope of the agreement, obligations of the parties involved, and remedies in case of breach. It’s user-friendly and can be tailored to meet the specific requirements of your business or project.
By using our free printable confidentiality agreement template, you can save time and effort while ensuring that your sensitive information remains secure. Don’t leave your valuable data unprotected – download our template today and give yourself peace of mind.
Protecting your confidential information is crucial in today’s fast-paced and competitive business world. With our free printable confidentiality agreement template, you can take proactive steps to safeguard your data and prevent unauthorized disclosure. Download our template now and keep your sensitive information safe and secure.
45 Free Confidentiality Agreement Templates NDA TemplateArchive
Confidentiality Agreement Template Free Download Unrubble
44 Non Disclosure Agreement Templates NDA Forms
Free Non Disclosure Agreement Template Document
Free Non Disclosure Agreement NDA Templates 21 PDF Word




